De afgeleide van een functie
Inhoud
In de vorige les zagen we hoe je de afgeleide voor een bepaalde x-waarde van een functie kan berekenen. Lees die les zeker eens na als je nog niet goed begrijpt wat we daar juist mee bedoelen. Je kan in die les zien dat het eigenlijk nogal veel werk is om zo'n afgeleide te berekenen. Zeker als we voor meerdere x-waarden die afgeleide zouden willen berekenen.
Gelukkig kunnen we ook de afgeleide van een volledige functie berekenen. Dat betekent dat we in één keer in alle x-waarden (waarin afleidbaar is) de afgeleide berekenen! 😮 Dat noemen we de afgeleide functie van een functie of kortweg de afgeleide van een functie.
De afgeleide functie
Met de afgeleide functie van een functie kunnen we heel snel de afgeleide vinden voor eender welke x-waarde waarin onze functie afleidbaar is. De afgeleide functie duiden we aan door een accent naast de van onze functie te zetten:
| Je schrijft | Je leest het als |
|---|---|
| De afgeleide (functie) van |
De afgeleide functie geeft ons een nieuw functievoorschrift . In dat voorschrift kunnen we dan weer x-waarden invullen, net zoals we in x-waarden kunnen invullen. Als we in een x-waarde invullen, berekenen we meteen de afgeleide van in die x-waarde. Zo moeten we niet telkens al het werk herhalen van de vorige les.
De afgeleide van een tweedegraadsfunctie
We hebben al geleerd dat een afgeleide functie ons veel werk kan besparen. Eens we gevonden hebben, kunnen we er namelijk eender welke x-waarde (waarin afleidbaar is) in invullen en vinden we meteen de afgeleide in die x-waarde. Maar hoe vinden we die afgeleide functie? Als voorbeeld zoeken we in deze paragraaf de afgeleide functie van de volgende tweedegraadsfunctie:
We leerden in de vorige les hoe je in een bepaalde x-waarde de afgeleide kan berekenen. Daarvoor vulden we de x-waarde in in de definitie van een afgeleide. Nu doen we hetzelfde, maar in plaats van een bepaald getal in te vullen, vullen we nu in.
Herinner je de definitie van de afgeleide van in :
Lees zeker onze introductie tot afgeleiden eens na als je die formule niet zo goed begrijpt. Wij zijn nu op zoek naar de afgeleide functie van een functie, en dat is niet , maar wel . We moeten in onze definitie van de dus gewoon vervangen door een :
En zo hebben we de definitie van de afgeleide functie van ! 🙌 Als we naar die definitie kijken, zien we dat er twee keer iets met staat. De eerste keer staat er en de tweede keer staat er :
Die en moeten we bepalen voor de functie waar we de afgeleide van willen vinden. Wij zoeken de afgeleide van , dus die in de definitie kunnen we al meteen vervangen:
Maar hoe vinden we die vreemde ? Daarvoor moeten we eigenlijk gewoon alle en in het functievoorschrift vervangen door :
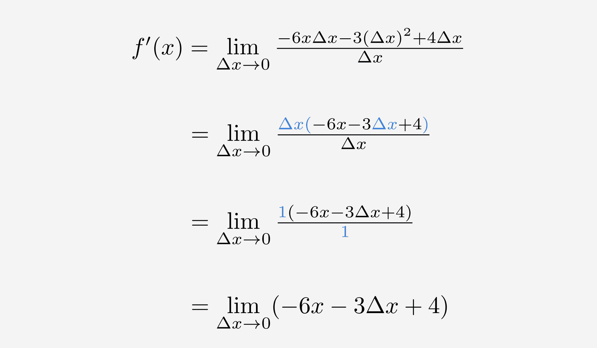
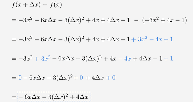
We hebben nu en gevonden voor de functie die we willen afleiden. Nu moeten we alles uitwerken en de limiet uitrekenen. Om alles een beetje verteerbaar te houden, gaan we die harige eerst apart uitwerken:
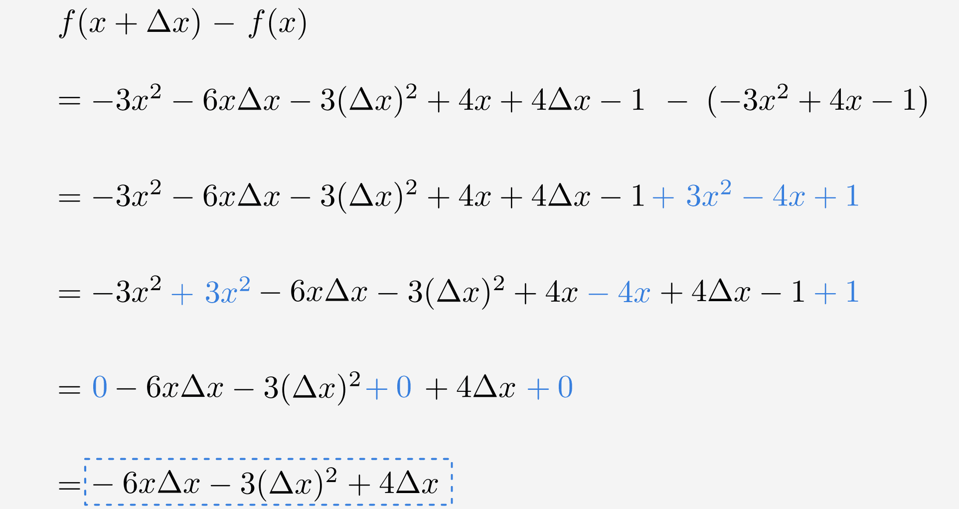
Die blijft een serieus harige uitdrukking... 🙄 Als je terug even naar boven gaat, zie je in de definitie van in de teller van de breuk "" staan. We moeten van onze dus nog aftrekken. Gelukkig vallen er dan een hele hoop dingen weg:
We hebben nu dus de teller gevonden van onze limiet:
Nu zou het je moeten opvallen dat er heel vaak in de breuk een staat. Het is zelfs zo dat elke term in de breuk een factor bevat. Dat betekent dat we de breuk kunnen vereenvoudigen door teller en noemer te delen door .
Wanneer je deelt, moet je altijd goed opletten dat je niet aan het delen bent door nul. Als gelijk zou zijn aan nul, zouden we de teller en noemer dus niet mogen delen door om de breuk te vereenvoudigen.
We weten echter dat niet gelijk is aan nul omdat we de limiet naar nul berekenen. Dat betekent dat héél dicht bij nul komt, maar nooit gelijk wordt aan nul. We mogen de teller en noemer dus zonder probleem delen door .
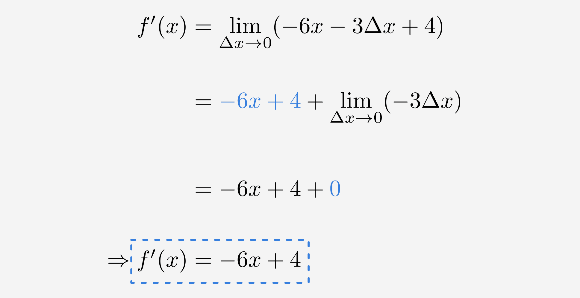
Dat ziet er al een heel stuk properder uit! 😀 Het enige wat ons nu nog rest is de limiet zelf berekenen. De limiet zegt enkel iets over , dus elke term zonder mogen we buiten de limiet zetten. Dan wordt de limiet heel eenvoudig en komt de afgeleide functie van tevoorschijn!
Ziezo! We hebben de afgeleide functie gevonden! 💪
Hoe helpt een afgeleide functie ons nu?
Eens we gevonden hebben, kunnen we de afgeleiden van in eender welke x-waarde (waarin afleidbaar is) berekenen! In de vorige les hebben we bijvoorbeeld de afgeleide van de functie in berekend. Dat vergde toen heel wat werk om te vinden dat . Nu kunnen we dezelfde afgeleide veel sneller berekenen omdat we nu weten dat :
We kunnen nu heel snel ook andere afgeleiden berekenen:
Sneller de afgeleide functie vinden
Eens we de afgeleide functie hebben gevonden, kunnen we snel afgeleiden vinden in verschillende x-waarden. Maar we moeten toegeven dat het vinden van de afgeleide functie zelf wel nog steeds flink wat werk was. Gelukkig bestaan er voor heel wat functies binnenwegen om in één oogopslag de afgeleide te vinden. Hier leren we later meer over!
Samengevat
De afgeleide functie van een functie
De afgeleide functie is de functie die voor elke x-waarde (waarin afleidbaar is) de afgeleide van in die x-waarde geeft.

